Предмет: Информатика
ГДЗ Рабочая тетрадь по Информатике 9 класс БосоваСколько CD емкостью 700 Мбайт потребуется для размещения данных, полностью занимающих диск
Задание 8. Сколько CD емкостью 700 Мбайт потребуется для размещения данных, полностью занимающих жесткий диск емкостью 280 Гбайт?
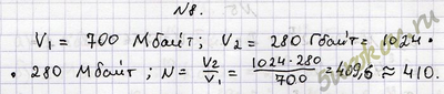
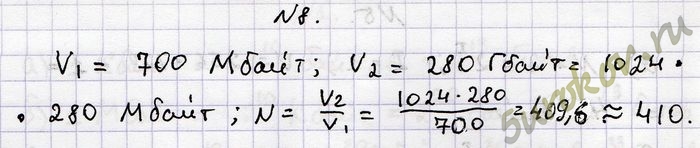
Дано:
Ёмкость одного CD: V1 = 700 Мбайт
Объём данных на жёстком диске: V2 = 280 Гбайт = 1024 * 280 Мбайт = 286 720 Мбайт
N = V2/V1 = 286720/700 ≈ 409,6
Так как количество CD должно быть целым и хватать для всех данных, округляем в большую сторону, то есть потребуется 410 CD дисков.
Ответ: 410 CD-дисков потребуется
V1 и V2 — это объёмы CD-диска и жёсткого диска соответственно. Чтобы определить, сколько CD-дисков потребуется для полного размещения данных с жёсткого диска, нужно разделить объём жёсткого диска на объём одного CD-диска и округлить результат в большую сторону.
409 CD-дисков вместят большую часть данных, а на последнем диске будет записано примерно 3/5 его полной ёмкости.

