Предмет: Информатика
ГДЗ Рабочая тетрадь по Информатике 9 класс БосоваМатематические модели: решение задач на движение по реке
Задание 30. Составьте математические модели и решите с их помощью следующие задачи.
-
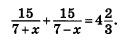
Пусть x: — скорость лодки. Тогда на основании условия задачи можем записать:
Краткое содержание...
Моторная лодка прошла против течения реки 255 км и вернулась в пункт отправления, затратив на обратный путь на 2 часа меньше. Найдите скорость лодки в неподвижной воде, если скорость течения равна 1 км/ч.
Ответ: х — 16 км/ч. -
Пусть х — скорость течения. Тогда на основании условия задачи можем записать:
Краткое содержание...
Баржа в 10:00 вышла из пункта А в пункт В, расположенный в 15 км от А. Пробыв в пункте В 1 час 20 минут, баржа отправилась назад и вернулась в пункт А в 16:00. Определите (в км/ч) скорость течения реки, если известно, что собственная скорость баржи равна 7 км/ч.
Ответ: х = 2 км/ч.
Поделиться
